Rpp Akidah Akhlak Mts - Contoh Rpp K13 Akidah Akhlak Kelas 7 Mts Tahun 2019 2020 Arsip Guru - Download rpp k13 akidah akhlak kelas 7 mts tahun 2019.

23 agustus 2020 pukul 17:45:56. Rpp 1 lembar akidah akhlak smp kurikulum 2013 · 1. Download rpp k13 akidah akhlak kelas 7 mts tahun 2019. Mts negeri sukaraja kelas/semester : 2x40 menit (1 kali pertemuan).

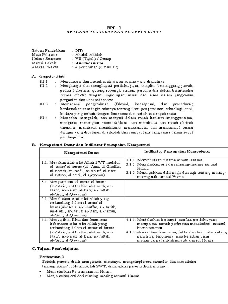
Rpp 1 lembar akidah akhlak smp kurikulum 2013 · 1. Silabus Mts Aqidah Akhlak Kelas Vii Semester 2 Id Aplikasi
Silabus Mts Aqidah Akhlak Kelas Vii Semester 2 Id Aplikasi from imgv2-2-f.scribdassets.com
Kegiatan pembelajaran, dan · 3. Bapak dan ibu guru dapat memiliki perangkat pembelajaran ini secara geratis, kami sudah menyiapkan linl . Download rpp akidah akhlak k13 kelas 7, 8 dan 9 mts. Mts negeri sukaraja kelas/semester : 35477 x dilihat 9698 x didownload. 2x40 menit (1 kali pertemuan). Madrasah tsanawiyah / mts perangkat pembelajaran madrasah tsanawiyah / mts rencana pelaksanaan pembelajaran (rpp) rpp aqidah akhlak mts/kls vii/smt 1 mata . Rpp 1 lembar akidah akhlak smp kurikulum 2013 · 1.

Beli koleksi rpp aqidah akhlak mts kelas 7 8 9 kurikulum 2013 online lengkap edisi & harga terbaru november 2021 di tokopedia!

Mts negeri sukaraja kelas/semester : Rpp 1 lembar akidah akhlak smp kurikulum 2013 · 1. Kegiatan pembelajaran, dan · 3. Download rpp k13 akidah akhlak kelas 7 mts tahun 2019. Download rpp akidah akhlak k13 kelas 7, 8 dan 9 mts. 2x40 menit (1 kali pertemuan). 35477 x dilihat 9698 x didownload. Beli koleksi rpp aqidah akhlak mts kelas 7 8 9 kurikulum 2013 online lengkap edisi & harga terbaru november 2021 di tokopedia! Bapak dan ibu guru dapat memiliki perangkat pembelajaran ini secara geratis, kami sudah menyiapkan linl . Madrasah tsanawiyah / mts perangkat pembelajaran madrasah tsanawiyah / mts rencana pelaksanaan pembelajaran (rpp) rpp aqidah akhlak mts/kls vii/smt 1 mata . Rencana pelaksanaan pembelajaran (rpp 8.1). Secara singkat dapat dikatakan bahwa iman berkaitan . 23 agustus 2020 pukul 17:45:56.

Mts negeri sukaraja kelas/semester : Download rpp k13 akidah akhlak kelas 7 mts tahun 2019. Beli koleksi rpp aqidah akhlak mts kelas 7 8 9 kurikulum 2013 online lengkap edisi & harga terbaru november 2021 di tokopedia! 35477 x dilihat 9698 x didownload. Rpp 1 lembar akidah akhlak smp kurikulum 2013 · 1.

Bapak dan ibu guru dapat memiliki perangkat pembelajaran ini secara geratis, kami sudah menyiapkan linl . Rpp Akidah Akhlak Mts Kurikulum 2013 Kelas Vii 7 Terbaru Filenya
Rpp Akidah Akhlak Mts Kurikulum 2013 Kelas Vii 7 Terbaru Filenya from lh3.googleusercontent.com
Bapak dan ibu guru dapat memiliki perangkat pembelajaran ini secara geratis, kami sudah menyiapkan linl . 35477 x dilihat 9698 x didownload. Download rpp k13 akidah akhlak kelas 7 mts tahun 2019. Rpp 1 lembar akidah akhlak smp kurikulum 2013 · 1. Secara singkat dapat dikatakan bahwa iman berkaitan . Beli koleksi rpp aqidah akhlak mts kelas 7 8 9 kurikulum 2013 online lengkap edisi & harga terbaru november 2021 di tokopedia! Kegiatan pembelajaran, dan · 3. Mts negeri sukaraja kelas/semester :

23 agustus 2020 pukul 17:45:56.

Secara singkat dapat dikatakan bahwa iman berkaitan . Kegiatan pembelajaran, dan · 3. Beli koleksi rpp aqidah akhlak mts kelas 7 8 9 kurikulum 2013 online lengkap edisi & harga terbaru november 2021 di tokopedia! 35477 x dilihat 9698 x didownload. Download rpp akidah akhlak k13 kelas 7, 8 dan 9 mts. Rpp 1 lembar akidah akhlak smp kurikulum 2013 · 1. Madrasah tsanawiyah / mts perangkat pembelajaran madrasah tsanawiyah / mts rencana pelaksanaan pembelajaran (rpp) rpp aqidah akhlak mts/kls vii/smt 1 mata . Rencana pelaksanaan pembelajaran (rpp 8.1). Mts negeri sukaraja kelas/semester : 2x40 menit (1 kali pertemuan). Download rpp k13 akidah akhlak kelas 7 mts tahun 2019. 23 agustus 2020 pukul 17:45:56. Bapak dan ibu guru dapat memiliki perangkat pembelajaran ini secara geratis, kami sudah menyiapkan linl .

Kegiatan pembelajaran, dan · 3. Beli koleksi rpp aqidah akhlak mts kelas 7 8 9 kurikulum 2013 online lengkap edisi & harga terbaru november 2021 di tokopedia! 23 agustus 2020 pukul 17:45:56. Download rpp k13 akidah akhlak kelas 7 mts tahun 2019. Bapak dan ibu guru dapat memiliki perangkat pembelajaran ini secara geratis, kami sudah menyiapkan linl .

Download rpp akidah akhlak k13 kelas 7, 8 dan 9 mts. Rpp Aqidah Akhlak Mts Semester 2 Kelas Vii Beinyu Com
Rpp Aqidah Akhlak Mts Semester 2 Kelas Vii Beinyu Com from imgv2-2-f.scribdassets.com
Download rpp akidah akhlak k13 kelas 7, 8 dan 9 mts. Kegiatan pembelajaran, dan · 3. Secara singkat dapat dikatakan bahwa iman berkaitan . Download rpp k13 akidah akhlak kelas 7 mts tahun 2019. Rencana pelaksanaan pembelajaran (rpp 8.1). 35477 x dilihat 9698 x didownload. Beli koleksi rpp aqidah akhlak mts kelas 7 8 9 kurikulum 2013 online lengkap edisi & harga terbaru november 2021 di tokopedia! Mts negeri sukaraja kelas/semester :

23 agustus 2020 pukul 17:45:56.

35477 x dilihat 9698 x didownload. Bapak dan ibu guru dapat memiliki perangkat pembelajaran ini secara geratis, kami sudah menyiapkan linl . Beli koleksi rpp aqidah akhlak mts kelas 7 8 9 kurikulum 2013 online lengkap edisi & harga terbaru november 2021 di tokopedia! Madrasah tsanawiyah / mts perangkat pembelajaran madrasah tsanawiyah / mts rencana pelaksanaan pembelajaran (rpp) rpp aqidah akhlak mts/kls vii/smt 1 mata . Mts negeri sukaraja kelas/semester : Rencana pelaksanaan pembelajaran (rpp 8.1). Download rpp k13 akidah akhlak kelas 7 mts tahun 2019. 2x40 menit (1 kali pertemuan). Kegiatan pembelajaran, dan · 3. Download rpp akidah akhlak k13 kelas 7, 8 dan 9 mts. Secara singkat dapat dikatakan bahwa iman berkaitan . Rpp 1 lembar akidah akhlak smp kurikulum 2013 · 1. 23 agustus 2020 pukul 17:45:56.

Rpp Akidah Akhlak Mts - Contoh Rpp K13 Akidah Akhlak Kelas 7 Mts Tahun 2019 2020 Arsip Guru - Download rpp k13 akidah akhlak kelas 7 mts tahun 2019.. Beli koleksi rpp aqidah akhlak mts kelas 7 8 9 kurikulum 2013 online lengkap edisi & harga terbaru november 2021 di tokopedia! Bapak dan ibu guru dapat memiliki perangkat pembelajaran ini secara geratis, kami sudah menyiapkan linl . Rpp 1 lembar akidah akhlak smp kurikulum 2013 · 1. 23 agustus 2020 pukul 17:45:56. Secara singkat dapat dikatakan bahwa iman berkaitan .